5.3.1 建筑物的地基变形计算值,不应大于地基变形允许值。
5.3.2 地基变形特征可分为沉降量、沉降差、倾斜、局部倾斜。
5.3.3 在计算地基变形时,应符合下列规定:
1 由于建筑地基不均匀、荷载差异很大、体型复杂等因素引起的地基变形,对于砌体承重结构应由局部倾斜值控制;对于框架结构和单层排架结构应由相邻柱基的沉降差控制;对于多层或高层建筑和高耸结构应由倾斜值控制;必要时尚应控制平均沉降量。
2 在必要情况下,需要分别预估建筑物在施工期间和使用期间的地基变形值,以便预留建筑物有关部分之间的净空,选择连接方法和施工顺序。
5.3.4 建筑物的地基变形允许值应按表5.3.4规定采用。对表中未包括的建筑物,其地基变形允许值应根据上部结构对地基变形的适应能力和使用上的要求确定。
表5.3.4 建筑物的地基变形允许值

注:1 本表数值为建筑物地基实际最终变形允许值;
2 有括号者仅适用于中压缩性土;
3 l为相邻柱基的中心距离(mm);Hg为自室外地面起算的建筑物高度(m);
4 倾斜指基础倾斜方向两端点的沉降差与其距离的比值;
5 局部倾斜指砌体承重结构沿纵向6m~10m内基础两点的沉降差与其距离的比值。
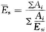
5.3.5 计算地基变形时,地基内的应力分布,可采用各向同性均质线性变形体理论。其最终变形量可按下式进行计算:

(5. 3. 5)
式中:s——地基最终变形量(mm);
s′——按分层总和法计算出的地基变形量(mm);
ψs——沉降计算经验系数,根据地区沉降观测资料及经验确定,无地区经验时可根据变形计算深度范围内压缩模量的当量值(Es)、基底附加压力按表5.3.5取值;
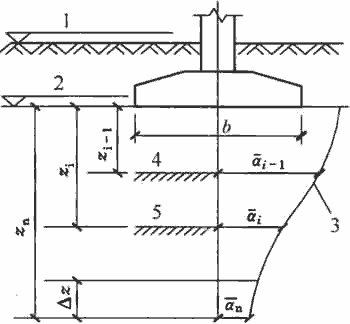
n——地基变形计算深度范围内所划分的土层数(图5.3.5);
p0——相应于作用的准永久组合时基础底面处的附加压力(kPa);
Esi——基础底面下第i层土的压缩模量(MPa),应取土的自重压力至土的自重压力与附加压力之和的压力段计算;
zi、zi-1——基础底面至第i层土、第i-1层土底面的距离(m);
ai、ai-1——基础底面计算点至第i层土、第i-1层土底面范围内平均附加应力系数,可按本规范附录K采用。

图5. 3. 5基础沉降计算的分层示意
1—天然地面标高;2—基底标高;3—平均附加应力系数a曲线;4—i-1层;5—i层
表5.3.5 沉降计算经验系数ψs

5.3.6 变形计算深度范围内压缩模量的当量值(Es),应按下式计算:

(5. 3. 6)
式中:Ai——第i层土附加应力系数沿土层厚度的积分值。
5.3.7 地基变形计算深度zn(图5 3.5),应符合式(5. 3. 7)的规定。当计算深度下部仍有较软土层时,应继续计算。

(5. 3. 7)
式中:△s′i——在计算深度范围内,第i层土的计算变形值(mm);
△s′n——在由计算深度向上取厚度为△z的土层计算变形值(mm),△z见图5. 3. 5并按表5. 3. 7确定。
表5.3.7 △z
| b(m) | ≤2 | 2<b≤4 | 4<b≤8 | b>8 |
| △z(m) | 0.3 | 0.6 | 0.8 | 1.0 |
5.3.8 当无相邻荷载影响,基础宽度在1m~30m范围内时,基础中点的地基变形计算深度也可按简化公式(5.3.8)进行计算。在计算深度范围内存在基岩时,zn可取至基岩表面;当存在较厚的坚硬黏性土层,其孔隙比小于0.5、压缩模量大于50MPa,或存在较厚的密实砂卵石层,其压缩模量大于80MPa时,zn可取至该层土表面。此时,地基土附加压力分布应考虑相对硬层存在的影响,按本规范公式(6.2.2)计算地基最终变形量。
zn=b(2.5-0.41nb) (5. 3.8)
式中:b—— 基础宽度(m)。
5.3.9 当存在相邻荷载时,应计算相邻荷载引起的地基变形,其值可按应力叠加原理,采用角点法计算。
5.3.10 当建筑物地下室基础埋置较深时,地基土的回弹变形量可按下式进行计算:

(5. 3.10)
式中:sc——地基的回弹变形量(mm);
ψc—— 回弹量计算的经验系数,无地区经验时可取1.0;
pc——基坑底面以上土的自重压力(kPa),地下水位以下应扣除浮力;
Eci——土的回弹模量(kPa),按现行国家标准《土工试验方法标准》GB/T 50123 中土的固结试验回弹曲线的不同应力段计算。
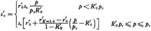
5.3.11 回弹再压缩变形量计算可采用再加荷的压力小于卸荷土的自重压力段内再压缩变形线性分布的假定按下式进行计算:

(5.3. 11)
式中:s′c——地基土回弹再压缩变形量(mm);
sc——地基的回弹变形量(mm);
r′0——临界再压缩比率,相应于再压缩比率与再加荷比关系曲线上两段线性交点对应的再压缩比率,由土的固结回弹再压缩试验确定;
R′0——临界再加荷比,相应在再压缩比率与再加荷比关系曲线上两段线性交点对应的再加荷比,由土的固结回弹再压缩试验确定;
r′R′=1.0——对应于再加荷比R′=1.0时的再压缩比率,由土的固结回弹再压缩试验确定,其值等于回弹再压缩变形增大系数;
p——再加荷的基底压力(kPa)。
5.3.12 在同一整体大面积基础上建有多栋高层和低层建筑,宜考虑上部结构、基础与地基的共同作用进行变形计算。