8.2.1 扩展基础的构造,应符合下列规定:
    1 锥形基础的边缘高度不宜小于200mm,且两个方向的坡度不宜大于1:3;阶梯形基础的每阶高度,宜为300mm~500mm。 
    2 垫层的厚度不宜小于70mm,垫层混凝土强度等级不宜低于C10。
    3 扩展基础受力钢筋最小配筋率不应小于0.15%,底板受力钢筋的最小直径不应小于10mm,间距不应大于200mm,也不应小于100mm。墙下钢筋混凝土条形基础纵向分布钢筋的直径不应小于8mm;间距不应大于300mm;每延米分布钢筋的面积不应小于受力钢筋面积的15%。当有垫层时钢筋保护层的厚度不应小于40mm;无垫层时不应小于70mm。
    4 混凝土强度等级不应低于C20。
    5 当柱下钢筋混凝土独立基础的边长和墙下钢筋混凝土条形基础的宽度大于或等于2.5m时,底板受力钢筋的长度可取边长或宽度的0.9倍,并宜交错布置(图8.2.1-1)。
    6 钢筋混凝土条形基础底板在T形及十字形交接处,底板横向受力钢筋仅沿一个主要受力方向通长布置,另一方向的横向受力钢筋可布置到主要受力方向底板宽度1/4处(图8.2.1-2)。在拐角处底板横向受力钢筋应沿两个方向布置(图8.2.1-2)。

图8.2.1-1 柱下独立基础底板受力钢筋布置


图8.2.1-2 墙下条形基础纵横交叉处底板受力钢筋布置

8.2.2 钢筋混凝土柱和剪力墙纵向受力钢筋在基础内的锚固长度应符合下列规定:
    1 钢筋混凝土柱和剪力墙纵向受力钢筋在基础内的锚固长度(la)应根据现行国家标准《混凝土结构设计规范》GB 50010有关规定确定;
    2 抗震设防烈度为6度、7度、8度和9度地区的建筑工程,纵向受力钢筋的抗震锚固长度(laE)应按下式计算:
        1)一、二级抗震等级纵向受力钢筋的抗震锚固长度(laE)应按下式计算:

laE=1.15la (8.2.2-1)

        2)三级抗震等级纵向受力钢筋的抗震锚固长度(laE)应按下式计算:

laE=1.05la (8.2.2-2)

        3)四级抗震等级纵向受力钢筋的抗震锚固长度(laE)应按下式计算:

laE=la (8.2.2-3)

式中:la——纵向受拉钢筋的锚固长度(m)。
    3 当基础高度小于la(laE)时,纵向受力钢筋的锚固总长度除符合上述要求外,其最小直锚段的长度不应小于20d,弯折段的长度不应小于150mm。

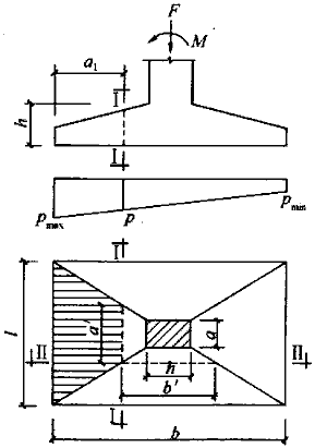
8.2.3 现浇柱的基础,其插筋的数量、直径以及钢筋种类应与柱内纵向受力钢筋相同。插筋的锚固长度应满足本规范第8.2.2条的规定,插筋与柱的纵向受力钢筋的连接方法,应符合现行国家标准《混凝土结构设计规范》GB 50010的有关规定。插筋的下端宜做成直钩放在基础底板钢筋网上。当符合下列条件之一时,可仅将四角的插筋伸至底板钢筋网上,其余插筋锚固在基础顶面下la或laE处(图8.2.3)。
    1 柱为轴心受压或小偏心受压,基础高度大于或等于1200mm;
    2 柱为大偏心受压,基础高度大于或等于1400mm。


图8.2.3 现浇柱的基础中插筋构造示意

8.2.4 预制钢筋混凝土柱与杯口基础的连接(图8.2.4),应符合下列规定;


图8.2.4 预制钢筋混凝土柱与杯口基础的连接示意
注:a2≥a1;1—焊接网

    1 柱的插入深度,可按表8.2.4-1选用,并应满足本规范第8.2.2条钢筋锚固长度的要求及吊装时柱的稳定性。

表8.2.4-1 柱的插入深度h1(mm)

    注:1 h为柱截面长边尺寸;ha为双肢柱全截面长边尺寸;hb为双肢柱全截面短边尺寸;
        2 柱轴心受压或小偏心受压时,h1可适当减小,偏心距大于2h时,h1应适当加大。
    
    2 基础的杯底厚度和杯壁厚度,可按表8.2.4-2选用。

表8.2.4-2 基础的杯底厚度和杯壁厚度

柱截面长边尺寸h(mm)杯底厚度
a1(mm)
杯壁厚度t(mm)
h<500≥150150~200
500≤h<800≥200≥200
800≤h<1000≥200≥300
1000≤h<1500≥250≥350
1500≤h<2000≥300≥400

    注:1 双肢柱的杯底厚度值,可适当加大;
        2 当有基础梁时,基础梁下的杯壁厚度,应满足其支承宽度的要求;
        3 柱子插入杯口部分的表面应凿毛,柱子与杯口之间的空隙,应用比基础混凝土强度等级高一级的细石混凝土充填密实,当达到材料设计强度的70%以上时,方能进行上部吊装。
    3 当柱为轴心受压或小偏心受压且t/h2≥0.65时,或大偏心受压且t/h2≥0.75时,杯壁可不配筋;当柱为轴心受压或小偏心受压且0.5≤t/h2<0.65时,杯壁可按表8.2.4-3构造配筋;其他情况下,应按计算配筋。

表8.2.4-3 杯壁构造配筋

柱截面长边尺寸(mm)h<10001000≤h<15001500≤h≤2000
钢筋直径(mm)8~1010~1212~16

注:表中钢筋置于杯口顶部,每边两根(图8.2.4)。

8.2.5 预制钢筋混凝土柱(包括双肢柱)与高杯口基础的连接(图8.2.5-1),除应符合本规范第8.2.4条插入深度的规定外,尚应符合下列规定:


图8.2.5-1 高杯口基础
H—短柱高度

    1 起重机起重量小于或等于750kN,轨顶标高小于或等于14m,基本风压小于0.5kPa的工业厂房,且基础短柱的高度不大于5m。
    2 起重机起重量大于750kN,基本风压大于0.5kPa,应符合下式的规定:

E2J2/E1J1≥10 (8.2.5-1)

式中:E1——预制钢筋混凝土柱的弹性模量(kPa);
      J1——预制钢筋混凝土柱对其截面短轴的惯性矩(m4);
      E2——短柱的钢筋混凝土弹性模量(kPa);
      J2——短柱对其截面短轴的惯性矩(m4)。
    3 当基础短柱的高度大于5m,应符合下式的规定:

2/△1≤1.1 (8.2.5-2)

式中:△1——单位水平力作用在以高杯口基础顶面为固定端的柱顶时,柱顶的水平位移(m):
      △2——单位水平力作用在以短柱底面为固定端的柱顶时,柱顶的水平位移(m)。
    4 杯壁厚度应符合表8.2.5的规定。高杯口基础短柱的纵向钢筋,除满足计算要求外,在非地震区及抗震设防烈度低于9度地区,且满足本条第1、2、3款的要求时,短柱四角纵向钢筋的直径不宜小于20mm,并延伸至基础底板的钢筋网上;短柱长边的纵向钢筋,当长边尺寸小于或等于1000mm时,其钢筋直径不应小于12mm,间距不应大于300mm;当长边尺寸大于1000mm时,其钢筋直径不应小于16mm,间距不应大于300mm,且每隔一米左右伸下一根并作150mm的直钩支承在基础底部的钢筋网上,其余钢筋锚固至基础底板顶面下la处(图8.2.5-2)。短柱短边每300mm应配置直径不小于12mm的纵向钢筋且每边的配筋率不少于0.05%短柱的截面面积。短柱中杯口壁内横向箍筋不应小于ф8@150;短柱中其他部位的箍筋直径不应小于8mm,间距不应大于300mm;当抗震设防烈度为8度和9度时,箍筋直径不应小于8mm,间距不应大于150mm。


图8.2.5-2 高杯口基础构造配筋
1—杯口壁内横向箍筋ф8@150;2—顶层焊接钢筋网;3—插入基础底部的纵向钢筋不应少于每米1根;4—短柱四角钢筋一般不小于 ф 20;5—短柱长边纵向钢筋当h3≤1000用ф12@300,当h3>1000用16@300;6—按构造要求;7—短柱短边纵向钢筋每边不小于0.05%b3h3(不小于ф12@300)

表8.2.5 高杯口基础的杯壁厚度t

h(mm)t(mm)
600<h≤800≥250
800<h≤1000≥300
1000<h≤1400≥350
1400<h≤1600≥400

8.2.6 扩展基础的基础底面积。应按本规范第5章有关规定确定。在条形基础相交处,不应重复计入基础面积。

8.2.7 扩展基础的计算应符合下列规定:
    1 对柱下独立基础,当冲切破坏锥体落在基础底面以内时,应验算柱与基础交接处以及基础变阶处的受冲切承载力;
    2 对基础底面短边尺寸小于或等于柱宽加两倍基础有效高度的柱下独立基础,以及墙下条形基础,应验算柱(墙)与基础交接处的基础受剪切承载力;
    3 基础底板的配筋,应按抗弯计算确定;
    4 当基础的混凝土强度等级小于柱的混凝土强度等级时,尚应验算柱下基础顶面的局部受压承载力。


8.2.8 柱下独立基础的受冲切承载力应按下列公式验算:

Fl≤0.7βhpƒtamhO  (8.2.8-1)
am=(at+ab)/2     (8.2.8-2)
Fl=pjAl           (8.2.8-3)

式中:βhp——受冲切承载力截面高度影响系数,当h不大于800mm时,βhp取1.0;当h大于或等于2000mm时,βhp取0.9,其间按线性内插法取用;
      ƒt——混凝土轴心抗拉强度设计值(kPa);
      hO ——基础冲切破坏锥体的有效高度(m);
      am——冲切破坏锥体最不利一侧计算长度(m);
      at——冲切破坏锥体最不利一侧斜截面的上边长(m),当计算柱与基础交接处的受冲切承载力时,取柱宽;当计算基础变阶处的受冲切承载力时,取上阶宽;
      ab——冲切破坏锥体最不利一侧斜截面在基础底面积范围内的下边长(m),当冲切破坏锥体的底面落在基础底面以内(图8.2.8a、b),计算柱与基础交接处的受冲切承载力时,取柱宽加两倍基础有效高度;当计算基础变阶处的受冲切承载力时,取上阶宽加两倍该处的基础有效高度;
      pj——扣除基础自重及其上土重后相应于作用的基本组合时的地基土单位面积净反力(kPa),对偏心受压基础可取基础边缘处最大地基土单位面积净反力;
      Al——冲切验算时取用的部分基底面积(m2)(图8.2.8a、b中的阴影面积ABCDEF);
      Fl——相应于作用的基本组合时作用在Al上的地基土净反力设计值(kPa)。


图8.2.8 计算阶形基础的受冲切承载力截面位置
1—冲切破坏锥体最不利一侧的斜截面;
2—冲切破坏锥体的底面线

8. 2.9 当基础底面短边尺寸小于或等于柱宽加两倍基础有效高度时,应按下列公式验算柱与基础交接处截面受剪承载力:

Vs≤0.7βhsƒtAO (8.2.9-1)
βhs=(800/hO)1/4 (8.2.9-2)

式中:Vs——相应于作用的基本组合时,柱与基础交接处的剪力设计值(kN),图8.2.9中的阴影面积乘以基底平均净反力;
      βhs——受剪切承载力截面高度影响系数,当h0<800mm时,取h0=800mm;当h0>2000mm时,取h0=2000mm;
      A0——验算截面处基础的有效截面面积(m2)。当验算截面为阶形或锥形时,可将其截面折算成矩形截面,截面的折算宽度和截面的有效高度按本规范附录U计算。


(a)柱与基础交接处            (b)基础变阶处
图8.2.9 验算阶形基础受剪切承载力示意


8.2.10 墙下条形基础底板应按本规范公式(8. 2.9-1)验算墙与基础底板交接处截面受剪承载力,其中A0为验算截面处基础底板的单位长度垂直截面有效面积,Vs为墙与基础交接处由基底平均净反力产生的单位长度剪力设计值。

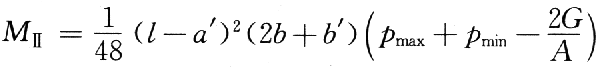
8.2.11 在轴心荷载或单向偏心荷载作用下,当台阶的宽高比小于或等于2.5且偏心距小于或等于1/6基础宽度时,柱下矩形独立基础任意截面的底板弯矩可按下列简化方法进行计算(图8.2.11):

(8.2.11-1)
(8.2.11-2)


式中:M、M——相应于作用的基本组合时,任意截面Ⅰ-Ⅰ、Ⅱ-Ⅱ处的弯矩设计值(kN·m);
      a1——任意截面Ⅰ-Ⅰ至基底边缘最大反力处的距离(m);
      l、b——基础底面的边长(m): 
      pmax、pmin——相应于作用的基本组合时的基础底面边缘最大和最小地基反力设计值(kPa);
      p——相应于作用的基本组合时在任意截面Ⅰ-Ⅰ处基础底面地基反力设计值(kPa);
      G——考虑作用分项系数的基础自重及其上的土自重(kN);当组合值由永久作用控制时,作用分项系数可取1.35。


图8. 2. 11 矩形基础底板的计算示意

8.2.12 基础底板配筋除满足计算和最小配筋率要求外,尚应符合本规范第8.2.1条第3款的构造要求。计算最小配筋率时,对阶形或锥形基础截面,可将其截面折算成矩形截面,截面的折算宽度和截面的有效高度,按附录U计算。基础底板钢筋可按式(8.2.12)计算。

As=M/0.9ƒyh0 (8.2.12)

8.2.13 当柱下独立柱基底面长短边之比ω在大于或等于2、小于或等于3的范围时,基础底板短向钢筋应按上述方法布置:将短向全部钢筋面积乘以λ 后求得的钢筋,均匀分布在与柱中心线重合的宽度等于基础短边的中间带宽范围内(图8.2.13),其余的短向钢筋则均匀分布在中间带宽的两侧。长向配筋应均匀分布在基础全宽范围内。λ 按下式计算:

λ=1-(ω/6) (8.2.13)

8.2.14 墙下条形基础(图8.2.14)的受弯计算和配筋应符合下列规定:


图8.2.13 基础底板短向钢筋布置示意
1—λ 倍短向全部钢筋面积均匀配置在阴影范围内


图8.2.14 墙下条形基础的计算示意
1一砖墙;2—混凝土墙

    1 任意截面每延米宽度的弯矩,可按下式进行计算

 (8.2.14)

    2 其最大弯矩截面的位置,应符合下列规定:
        1)当墙体材料为混凝土时,取a1=b1
        2)如为砖墙且放脚不大于1/4砖长时,取a1=b1+1/4砖长。
    3 墙下条形基础底板每延米宽度的配筋除满足计算和最小配筋率要求外,尚应符合本规范第8.2.1条第3款的构造要求。