6.8.1 城市燃气输配系统,宜设置监控及数据采集系统。
6.8.2 监控及数据采集系统应采用电子计算机系统为基础的装备和技术。
6.8.3 监控及数据采集系统应采用分级结构。
6.8.4 监控及数据采集系统应设主站、远端站。主站应设在燃气企业调度服务部门,并宜与城市公用数据库连接。远端站设置在区域调压站、专用调压站、管网压力监测点、储配站、门站和气源厂等。
6.8.5 根据监控及数据采集系统拓扑结构设计的需求,在等级系统中可在主站与远端站之间设置通信或其他功能的分级站。
6.8.6 监控及数据采集系统的信息传输介质及方式应根据当地通信系统条件、系统规模和特点、地理环境,经全面的技术经济比较后确定。信息传输宜采用城市公共数据通信网络。
6.8.7 监控及数据采集系统所选用的设备、器件、材料和仪表应选用通用性产品。
6.8.8 监控及数据采集系统的布线和接口设计应符合国家现行有关标准的规定,并具有通用性、兼容性和可扩性。
6.8.9 监控及数据采集系统的硬件和软件应有较高可靠性,并应设置系统自身诊断功能,关键设备应采用冗余技术。
6.8.10 监控及数据采集系统宜配备实时瞬态模拟软件,软件应满足系统进行调度优化、泄漏检测定位、工况预测、存量分析、负荷预测及调度员培训等功能。
6.8.11 监控及数据采集系统远端站应具有数据采集和通信功能,并对需要进行控制或调节的对象点,应有对选定的参数或操作进行控制或调节功能。
6.8.12 主站系统设计应具有良好的人机对话功能,宜满足及时调整参数或处理紧急情况的需要。
6.8.13 远端站数据采集等工作信息的类型和数量应按实际需要予以合理地确定。
6.8.14 设置监控和数据采集设备的建筑应符合现行国家标准《计算站场地技术要求》GB 2887和《电子计算机机房设计规范》GB 50174以及《计算机机房用活动地板技术条件》GB 6550的有关规定。
6.8.15 监控及数据采集系统的主站机房,应设置可靠性较高的不间断电源设备及其备用设备。
6.8.16 远端站的防爆、防护应符合所在地点防爆、防护的相关要求。
分类:6 燃气输配系统
6.7 钢质燃气管道和储罐的防腐
6.7.1 钢质燃气管道和储罐必须进行外防腐。其防腐设计应符合国家现行标准《城镇燃气埋地钢质管道腐蚀控制技术规程》CJJ 95和《钢质管道及储罐腐蚀控制工程设计规范》SY 0007的有关规定。
6.7.2 地下燃气管道防腐设计,必须考虑土壤电阻率。对高、中压输气干管宜沿燃气管道途经地段选点测定其土壤电阻率。应根据土壤的腐蚀性、管道的重要程度及所经地段的地质、环境条件确定其防腐等级。
6.7.3 地下燃气管道的外防腐涂层的种类,根据工程的具体情况,可选用石油沥青、聚乙烯防腐胶带、环氧煤沥青、聚乙烯防腐层、氯磺化聚乙烯、环氧粉末喷涂等。当选用上述涂层时,应符合国家现行有关标准的规定。
6.7.4 采用涂层保护埋地敷设的钢质燃气干管宜同时采用阴极保护。
市区外埋地敷设的燃气干管,当采用阴极保护时,宜采用强制电流方式,并应符合国家现行标准《埋地钢质管道强制电流阴极保护设计规范》SY/T 0036的有关规定。
市区内埋地敷设的燃气干管,当采用阴极保护时,宜采用牺牲阳极法,并应符合国家现行标准《埋地钢质管道牺牲阳极阴极保护设计规范》SY/T 0019的有关规定。
6.7.5 地下燃气管道与交流电力线接地体的净距不应小于表6.7.5的规定。

6.6 调压站与调压装置
6.6.1 本节适用于城镇燃气输配系统中不同压力级别管道之间连接的调压站、调压箱(或柜)和调压装置的设计。
6.6.2 调压装置的设置应符合下列要求:
1 自然条件和周围环境许可时,宜设置在露天,但应设置围墙、护栏或车挡;
2 设置在地上单独的调压箱(悬挂式)内时,对居民和商业用户燃气进口压力不应大于0.4MPa;对工业用户(包括锅炉房)燃气进口压力不应大于0.8MPa;
3 设置在地上单独的调压柜(落地式)内时,对居民、商业用户和工业用户(包括锅炉房)燃气进口压力不宜大于1.6MPa;
4 设置在地上单独的建筑物内时,应符合本规范第6.6.12条的要求;
5 当受到地上条件限制,且调压装置进口压力不大于0.4MPa时,可设置在地下单独的建筑物内或地下单独的箱体内,并应分别符合本规范第6.6.14条和第6.6.5条的要求;
6 液化石油气和相对密度大于0.75燃气的调压装置不得设于地下室、半地下室内和地下单独的箱体内。
6.6.3 调压站(含调压柜)与其他建筑物、构筑物的水平净距应符合表6.6.3的规定。

注:1 当调压装置露天设置时,则指距离装置的边缘;
2 当建筑物(含重要公共建筑)的某外墙为无门、窗洞口的实体墙,且建筑物耐火等级不低于二级时,燃气进口压力级别为中压A或中压B的调压柜一侧或两侧(非平行),可贴靠上述外墙设置;
3 当选不到上表净距要求时,采取有效措施,可适当缩小净距。
6.6.4 地上调压箱和调压柜的设置应符合下列要求:
1 调压箱(悬挂式)
1) 调压箱的箱底距地坪的高度宜为1.0~1.2m,可安装在用气建筑物的外墙壁上或悬挂于专用的支架上;当安装在用气建筑物的外墙上时,调压器进出口管径不宜大于DN50;
2) 调压箱到建筑物的门、窗或其他通向室内的孔槽的水平净距应符合下列规定:
当调压器进口燃气压力不大于0.4MPa时,不应小于1.5m;
当调压器进口燃气压力大于0.4MPa时,不应小于3.0m;
调压箱不应安装在建筑物的窗下和阳台下的墙上;不应安装在室内通风机进风口墙上;
3) 安装调压箱的墙体应为永久性的实体墙,其建筑物耐火等级不应低于二级;
4) 调压箱上应有自然通风孔。
2 调压柜(落地式)
1) 调压柜应单独设置在牢固的基础上,柜底距地坪高度宜为0.30m;
2) 距其他建筑物、构筑物的水平净距应符合表6.6.3的规定;
3) 体积大于1.5m3的调压柜应有爆炸泄压口,爆炸泄压口不应小于上盖或最大柜壁面积的50%(以较大者为准);爆炸泄压口宜设在上盖上;通风口面积可包括在计算爆炸泄压口面积内;
4) 调压柜上应有自然通风口,其设置应符合下列要求:
当燃气相对密度大于0.75时,应在柜体上、下各设1%柜底面积通风口;调压柜四周应设护栏;
当燃气相对密度不大于0.75时,可仅在柜体上部设4%柜底面积通风口;调压柜四周宜设护栏。
3 调压箱(或柜)的安装位置应能满足调压器安全装置的安装要求。
4 调压箱(或柜)的安装位置应使调压箱(或柜)不被碰撞,在开箱(或柜)作业时不影响交通。
6.6.5 地下调压箱的设置应符合下列要求:
1 地下调压箱不宜设置在城镇道路下,距其他建筑物、构筑物的水平净距应符合本规范表6.6.3的规定;
2 地下调压箱上应有自然通风口,其设置应符合本规范第6.6.4条第2款4)项规定;
3 安装地下调压箱的位置应能满足调压器安全装置的安装要求;
4 地下调压箱设计应方便检修;
5 地下调压箱应有防腐保护。
6.6.6 单独用户的专用调压装置除按本规范第6.6.2和6.6.3条设置外,尚可按下列形式设置,但应符合下列要求:
1 当商业用户调压装置进口压力不大于0.4MPa,或工业用户(包括锅炉)调压装置进口压力不大于0.8MPa时,可设置在用气建筑物专用单层毗连建筑物内:
1) 该建筑物与相邻建筑应用无门窗和洞口的防火墙隔开,与其他建筑物、构筑物水平净距应符合本规范表6.6.3的规定;
2) 该建筑物耐火等级不应低于二级,并应具有轻型结构屋顶爆炸泄压口及向外开启的门窗;
3) 地面应采用撞击时不会产生火花的材料;
4) 室内通风换气次数每小时不应小于2次;
5) 室内电气、照明装置应符合现行的国家标准《爆炸和火灾危险环境电力装置设计规范》GB 50058的“1区”设计的规定。
2 当调压装置进口压力不大于0.2MPa时,可设置在公共建筑的顶层房间内:
1) 房间应靠建筑外墙,不应布置在人员密集房间的上面或贴邻,并满足本条第1款2)、3)、5)项要求;
2) 房间内应设有连续通风装置,并能保证通风换气次数每小时不小于3次;
3) 房间内应设置燃气浓度检测监控仪表及声、光报警装置。该装置应与通风设施和紧急切断阀连锁,并将信号引入该建筑物监控室;
4) 调压装置应设有超压自动切断保护装置;
5) 室外进口管道应设有阀门,并能在地面操作;
6) 调压装置和燃气管道应采用钢管焊接和法兰连接。
3 当调压装置进口压力不大于0.4MPa,且调压器进出口管径不大于DN100时,可设置在用气建筑物的平屋顶上,但应符合下列条件:
1) 应在屋顶承重结构受力允许的条件下,且该建筑物耐火等级不应低于二级;
2) 建筑物应有通向屋顶的楼梯;
3) 调压箱、柜(或露天调压装置)与建筑物烟囱的水平净距不应小于5m。
4 当调压装置进口压力不大于0.4MPa时,可设置在生产车间、锅炉房和其他工业生产用气房间内,或当调压装置进口压力不大于0.8MPa时,可设置在独立、单层建筑的生产车间或锅炉房内,但应符合下列条件:
1) 应满足本条第1款2)、4)项要求;
2) 调压器进出口管径不应大于DN80;
3) 调压装置宜设不燃烧体护栏;
4) 调压装置除在室内设进口阀门外,还应在室外引入管上设置阀门。
注:当调压器进出口管径大于DN80时,应将调压装置设置在用气建筑物的专用单层房间内,其设计应符合本条第1款的要求。
6.6.7 调压箱(柜)或调压站的噪声应符合现行国家标准《城市区域环境噪声标准》GB 3096的规定。
6.6.8 设置调压器场所的环境温度应符合下列要求:
1 当输送干燃气时,无采暖的调压器的环境温度应能保证调压器的活动部件正常工作;
2 当输送湿燃气时,无防冻措施的调压器的环境温度应大于0℃;当输送液化石油气时,其环境温度应大于液化石油气的露点。
6.6.9 调压器的选择应符合下列要求:
1 调压器应能满足进口燃气的最高、最低压力的要求;
2 调压器的压力差,应根据调压器前燃气管道的最低设计压力与调压器后燃气管道的设计压力之差值确定;
3 调压器的计算流量,应按该调压器所承担的管网小时最大输送量的1.2倍确定。
6.6.10 调压站(或调压箱或调压柜)的工艺设计应符合下列要求:
1 连接未成环低压管网的区域调压站和供连续生产使用的用户凋压装置宜设置备用调压器,其他情况下的调压器可不设备用。
调压器的燃气进、出口管道之间应设旁通管,用户调压箱(悬挂式)可不设旁通管。
2 高压和次高压燃气调压站室外进、出口管道上必须设置阀门;
中压燃气调压站室外进口管道上,应设置阀门。
3 调压站室外进、出口管道上阀门距调压站的距离:
当为地上单独建筑时,不宜小于10m,当为毗连建筑物时,不宜小于5m;
当为调压柜时,不宜小于5m;
当为露天调压装置时,不宜小于10m;
当通向调压站的支管阀门距调压站小于100m时,室外支管阀门与调压站进口阀门可合为一个。
4 在调压器燃气入口处应安装过滤器。
5 在调压器燃气入口(或出口)处,应设防止燃气出口压力过高的安全保护装置(当调压器本身带有安全保护装置时可不设)。
6 调压器的安全保护装置宜选用人工复位型。安全保护(放散或切断)装置必须设定启动压力值并具有足够的能力。启动压力应根据工艺要求确定,当工艺无特殊要求时应符合下列要求:
1) 当调压器出口为低压时,启动压力应使与低压管道直接相连的燃气用具处于安全工作压力以内;
2) 当调压器出口压力小于0.08MPa时,启动压力不应超过出口工作压力上限的50%;
3) 当调压器出口压力等于或大于0.08MPa,但不大于0.4MPa时,启动压力不应超过出口工作压力上限0.04MPa;
4) 当调压器出口压力大于0.4MPa时,启动压力不应超过出口工作压力上限的10%。
7 调压站放散管管口应高出其屋檐1.0m以上。
调压柜的安全放散管管口距地面的高度不应小于4m;设置在建筑物墙上的调压箱的安全放教管管口应高出该建筑物屋檐1.0m;
地下调压站和地下调压箱的安全放散管管口也应按地上调压柜安全放散管管口的规定设置。
注:清洗管道吹扫用的放散管、指挥器的放散管与安全水封放散管属于同一工作压力时。允许将它们连接在同一放散管上。
8 调压站内调压器及过滤器前后均应设置指示式压力表,调压器后应设置自动记录式压力仪表。
6.6.11 地上调压站内调压器的布置应符合下列要求:
1 调压器的水平安装高度应便于维护检修;
2 平行布置2台以上调压器时,相邻调压器外缘净距、调压器与墙面之间的净距和室内主要通道的宽度均宜大于0.8m。
6.6.12 地上调压站的建筑物设计应符合下列要求:
1 建筑物耐火等级不应低于二级;
2 调压室与毗连房间之间应用实体隔墙隔开,其设计应符合下列要求:
1) 隔墙厚度不应小于24cm,且应两面抹灰;
2) 隔墙内不得设置烟道和通风设备,调压室的其他墙壁也不得设有烟道;
3) 隔墙有管道通过时,应采用填料密封或将墙洞用混凝土等材料填实;
3 调压室及其他有漏气危险的房间,应采取自然通风措施,换气次数每小时不应小于2次;
4 城镇无人值守的燃气调压室电气防爆等级应符合现行国家标准《爆炸和火灾危险环境电力装置设计规范》GB 50058“1区”设计的规定(见附录图D-7);
5 调压室内的地面应采用撞击时不会产生火花的材料;
6 调压室应有泄压措施,并应符合现行国家标准《建筑设计防火规范》GB 50016的有关规定;
7 调压室的门、窗应向外开启,窗应设防护栏和防护网;
8 重要调压站宜设保护围墙;
9 设于空旷地带的调压站或采用高架遥测天线的调压站应单独设置避雷装置,其接地电阻值应小于10Ω。
6.6.13 燃气调压站采暖应根据气象条件、燃气性质、控制测量仪表结构和人员工作的需要等因素确定。当需要采暖时严禁在调压室内用明火采暖,但可采用集中供热或在调压站内设置燃气、电气采暖系统,其设计应符合下列要求:
1 燃气采暖锅炉可设在与调压器室毗连的房间内;
调压器室的门、窗与锅炉室的门、窗不应设置在建筑的同一侧;
2 采暖系统宜采用热水循环式;
采暖锅炉烟囱排烟温度严禁大于300℃;烟囱出口与燃气安全放散管出口的水平距离应大于5m;
3 燃气采暖锅炉应有熄火保护装置或设专人值班管理;
4 采用防爆式电气采暖装置时,可对调压器室或单体设备用电加热采暖。电采暖设备的外壳温度不得大于115℃。电采暖设备应与调压设备绝缘。
6.6.14 地下调压站的建筑物设计应符合下列要求:
1 室内净高不应低于2m;
2 宜采用混凝土整体浇筑结构;
3 必须采取防水措施;在寒冷地区应采取防寒措施;
4 调压室顶盖上必须设置两个呈对角位置的人孔,孔盖应能防止地表水浸入,
5 室内地面应采用撞击时不产生火花的材料,并应在一侧人孔下的地坪设置集水坑;
6 调压室顶盖应采用混凝土整体浇筑。
6.6.15 当调压站内、外燃气管道为绝缘连接时,调压器及其附属设备必须接地,接地电阻应小于100Ω。
6.5 门站和储配站
6.5.1 本节适用于城镇燃气输配系统中,接受气源来气并进行净化、加臭、储存、控制供气压力、气量分配、计量和气质检测的门站和储配站的工程设计。
6.5.2 门站和储配站站址选择应符合下列要求:
1 站址应符合城镇总体规划的要求;
2 站址应具有适宜的地形、工程地质、供电、给水排水和通信等条件;
3 门站和储配站应少占农田、节约用地并注意与城镇景观等协调;
4 门站站址应结合长输管线位置确定;
5 根据输配系统具体情况,储配站与门站可合建;
6 储配站内的储气罐与站外的建、构筑物的防火间距应符合现行国家标准《建筑设计防火规范》GB 50016的有关规定。站内露天燃气工艺装置与站外建、构筑物的防火间距应符合甲类生产厂房与厂外建、构筑物的防火间距的要求。
6.5.3 储配站内的储气罐与站内的建、构筑物的防火间距应符合表6.5.3的规定。

注:1 低压湿式储气罐与站内的建、构筑物的防火间距,应按本表确定;
2 低压干式储气罐与站内的建、构筑物的防火间距,当可燃气体的密度比空气大时,应按本表增加25%;比空气小或等于时,可按本表确定;
3 固定容积储气罐与站内的建、构筑物的防火间距应按本表的规定执行。总容积按其几何容积(m3)和设计压力(绝对压力,103kPa)的乘积计算;
4 低压湿式或干式储气罐的水封室、油泵房和电梯间等附属设施与该储罐的间距按工艺要求确定;
5 露天燃气工艺装置与储气罐的间距按工艺要求确定。
6.5.4 储气罐或罐区之间的防火间距。应符合下列要求:
1 湿式储气罐之间、干式储气罐之间、湿式储气罐与干式储气罐之间的防火间距,不应小于相邻较大罐的半径;
2 固定容积储气罐之间的防火间距,不应小于相邻较大罐直径的2/3;
3 固定容积储气罐与低压湿式或干式储气罐之闻的防火间距,不应小于相邻较大罐的半径;
4 数个固定容积储气罐的总容积大于200000m3时,应分组布置。组与组之间的防火间距:卧式储罐,不应小于相邻较大罐长度的一半;球形储罐,不应小于相邻较大罐的直径。且不应小于20.0m;
5 储气罐与液化石油气罐之间防火间距应符合现行国家标准《建筑设计防火规范》GB 50016的有关规定。
6.5.5 门站和储配站总平面布置应符合下列要求:
1 总平面应分区布置,即分为生产区(包括储罐区、调压计量区、加压区等)和辅助区。
2 站内的各建构筑物之间以及与站外建构筑物之间的防火间距应符合现行国家标准《建筑设计防火规范》GB 50016的有关规定。站内建筑物的耐火等级不应低于现行国家标准《建筑设计防火规范》GB 50016“二级”的规定。
3 站内露天工艺装置区边缘距明火或散发火花地点不应小于20m,距办公、生活建筑不应小于18m,距围墙不应小于10m。与站内生产建筑的间距按工艺要求确定。
4 储配站生产区应设置环形消防车通道。消防车通道宽度不应小于3.5m。
6.5.6 当燃气无臭味或臭味不足时,门站或储配站内应设置加臭装置。加臭量应符合本规范第3.2.3条的有关规定。
6.5.7 门站和储配站的工艺设计应符合下列要求:
1 功能应满足输配系统输气调度和调峰的要求;
2 站内应根据输配系统调度要求分组设置计量和调压装置,装置前应设过滤器;门站进站总管上宜设置分离器;
3 调压装置应根据燃气流量、压力降等工艺条件确定设置加热装置;
4 站内计量调压装置和加压设备应根据工作环境要求露天或在厂房内布置,在寒冷或风沙地区宜采用全封闭式厂房;
5 进出站管线应设置切断阀门和绝缘法兰;
6 储配站内进罐管线上宜设置控制进罐压力和流量的调节装置;
7 当长输管道采用清管工艺时,其清管器的接收装置宜设置在门站内;
8 站内管道上应根据系统要求设置安全保护及放散装置;
9 站内设备、仪表、管道等安装的水平间距和标高均应便于观察、操作和维修。
6.5.8 站内宜设置自动化控制系统,并宜作为输配系统的数据采集监控系统的远端站。
6.5.9 站内燃气计量和气质的检验应符合下列要求:
1 站内设置的计量仪表应符合表6.5.9的规定;
2 宜设置测定燃气组分、发热量、密度、湿度和各项有害杂质含量的仪表。

注:表中“+”为应规定设置。
6.5.10 燃气储存设施的设计应符合下列要求:
1 储配站所建储罐容积应根据输配系统所需储气总容量、管网系统的调度平衡和气体混配要求确定;
2 储配站的储气方式及储罐形式应根据燃气进站压力、供气规模、输配管网压力等因素,经技术经济比较后确定;
3 确定储罐单体或单组容积时,应考虑储罐检修期间供气系统的调度平衡;
4 储罐区宜设有排水设施。
6.5.11 低压储气罐的工艺设计,应符合下列要求:
1 低压储气罐宜分别设置燃气进、出气管,各管应设置关闭性能良好的切断装置,并宜设置水封阀,水封阀的有效高度应取设计工作压力(以Pa表示)乘0.1加500mm。燃气进、出气管的设计应能适应气罐地基沉降引起的变形;
2 低压储气罐应设储气量指示器。储气量指示器应具有显示储量及可调节的高低限位声、光报警装置;
3 储气罐高度超越当地有关的规定时应设高度障碍标志;
4 湿式储气罐的水封高度应经过计算后确定;
5 寒冷地区湿式储气罐的水封应设有防冻措施;
6 干式储气罐密封系统,必须能够可靠地连续运行;
7 干式储气罐应设置紧急放散装置;
8 干式储气罐应配有检修通道。稀油密封干式储气罐外部应设置检修电梯。
6.5.12 高压储气罐工艺设计,应符合下列要求:
1 高压储气罐宜分别设置燃气进、出气管,不需要起混气作用的高压储气罐,其进、出气管也可合为一条;燃气进、出气管的设计宜进行柔性计算;
2 高压储气罐应分别设置安全阀、放散管和排污管;
3 高压储气罐应设置压力检测装置;
4 高压储气罐宜减少接管开孔数量;
5 高压储气罐宜设置检修排空装置;
6 当高压储气罐罐区设置检修用集中放散装置时,集中放散装置的放散管与站外建、构筑物的防火间距不应小于表6.5.12-1的规定;集中放散装置的放散管与站内建、构筑物的防火间距不应小于表6.5.12-2的规定;放散管管口高度应高出距其25m内的建构筑物2m以上,且不得小于10m;
7 集中放散装置宜设置在站内全年最小频率风向的上风侧。


6.5.13 站内工艺管道应采用钢管。燃气管道设计压力大于0.4MPa时,其管材性能应分别符合现行国家标准《石油天然气工业输送钢管交货技术条件》GB/T 9711、《输送流体用无缝钢管》GB/T 8163的规定;设计压力不大于0.4MPa时,其管材性能应符合现行国家标准《低压流体输送用焊接钢管》GB/T 3091的规定。
阀门等管道附件的压力级别不应小于管道设计压力。
6.5.14 燃气加压设备的选型应符合下列要求:
1 储配站燃气加压设备应结合输配系统总体设计采用的工艺流程、设计负荷、排气压力及调度要求确定;
2 加压设备应根据吸排气压力、排气量选择机型。所选用的设备应便于操作维护、安全可靠,并符合节能、高效、低振和低噪声的要求;
3 加压设备的排气能力应按厂方提供的实测值为依据。站内加压设备的形式应一致,加压设备的规格应满足运行调度要求,并不宜多于两种。
储配站内装机总台数不宜过多。每1~5台压缩机宜另设1台备用。
6.5.15 压缩机室的工艺设计应符合下列要求:
1 压缩机宜按独立机组配置进、出气管及阀门、旁通、冷却器、安全放散、供油和供水等各项辅助设施;
2 压缩机的进、出气管道宜采用地下直埋或管沟敷设,并宜采取减振降噪措施;
3 管道设计应设有能满足投产置换,正常生产维修和安全保护所必需的附属设备;
4 压缩机及其附属设备的布置应符合下列要求:
1) 压缩机宜采取单排布置;
2) 压缩机之间及压缩机与墙壁之间的净距不宜小于1.5m;
3) 重要通道的宽度小宜小于2m;
4) 机组的联轴器及皮带传动装置应采取安全防护措施;
5) 高出地面2m以上的检修部位应设置移动或可拆卸式的维修平台或扶梯;
6) 维修平台及地坑周围应设防护栏杆;
5 压缩机室宜根据设备情况设置检修用起吊设备;
6 当压缩机采用燃气为动力时,其设计应符合现行国家标准《输气管道工程设计规范》GB 50251和《石油天然气工程设计防火规范》GB 50183的有关规定;
7 压缩机组前必须设有紧急停车按钮。
6.5.16 压缩机的控制室宜设在主厂房一侧的中部或主厂房的一端。控制室与压缩机室之间应设有能观察各台设备运转的隔声耐火玻璃窗。
6.5.17 储配站控制室内的二次检测仪表及操作调节装置宜按表6.5.17规定设置。

注:表中“+”为应规定设置。
6.5.18 压缩机室、调压计量室等具有爆炸危险的生产用房应符合现行国家标准《建筑设计防火规范》GB 50016的“甲类生产厂房”设计的规定。
6.5.19 门站和储配站内的消防设施设计应符合现行国家标准《建筑设计防火规范》GB 50016的规定,并符合下列要求:
1 储配站在同一时间内的火灾次数应按一次考虑。储罐区的消防用水量不应小于表6.5.19的规定。

注:固定容积的可燃气体储罐以组为单位,总容积按其几何窖积(m3)和设计压力(绝对压力,102kPa)的乘积计算。
2 当设置消防水池时,消防水池的容量应按火灾延续时间3h计算确定。当火灾情况下能保证连续向消防水池补水时,其容量可减去火灾延续时间内的补水量。
3 储配站内消防给水管网应采用环形管网,其给水干管不应少于2条。当其中一条发生故障时,其余的进水管应能满足消防用水总量的供给要求。
4 站内室外消火栓宜选用地上式消火栓。
5 门站的工艺装置区可不设消防给水系统。
6 门站和储配站内建筑物灭火器的配置应符合现行国家标准《建筑灭火器配置设计规范》GB 50140的有关规定。储配站内储罐区应配置干粉灭火器,配置数量按储罐台数每台设置2个;每组相对独立的调压计量等工艺装置区应配置干粉灭火器,数量不少于2个。
注:1 干粉灭火器指8kg手提式干粉灭火器。
2 根据场所危险程度可设置部分35kg手推式干粉灭火器。
6.5.20 门站和储配站供电系统设计应符合现行国家标准《供配电系统设计规范》GB 50052的“二级负荷”的规定。
6.5.21 门站和储配站电气防爆设计符合下列要求:
1 站内爆炸危险场所的电力装置设计应符合现行国家标准《爆炸和火灾危险环境电力装置设计规范》GB 50058的规定。
2 其爆炸危险区域等级和范围的划分宜符合本规范附录D的规定。
3 站内爆炸危险厂房和装置区内应装设燃气浓度检测报警装置。
6.5.22 储气罐和压缩机室、调压计量室等具有爆炸危险的生产用房应有防雷接地设施,其设计应符合现行国家标准《建筑物防雷设计规范》GB 50057的“第二类防雷建筑物”的规定。
6.5.23 门站和储配站的静电接地设计应符合国家现行标准《化工企业静电接地设计规程》HGJ 28的规定。
6.5.24 门站和储配站边界的噪声应符合现行国家标准《工业企业厂界噪声标准》GB 12348的规定。
6.4 压力大于1.6MPa的室外燃气管道
6.4.1 本节适用于压力大于1.6MPa(表压)但不大于4.0MPa(表压)的城镇燃气(不包括液态燃气)室外管道工程的设计。
6.4.2 城镇燃气管道通过的地区,应按沿线建筑物的密集程度划分为四个管道地区等级,并依据地区等级作出相应的管道设计。
6.4.3 城镇燃气管道地区等级的划分应符合下列规定:
1 沿管道中心线两侧各200m范围内,任意划分为1.6km长并能包括最多供人居住的独立建筑物数量的地段,作为地区分级单元。
注:在多单元住宅建筑物内,每个独立住宅单元按一个供人居住的独立建筑物计算。
2 管道地区等级应根据地区分级单元内建筑物的密集程度划分,并应符合下列规定:
1)一级地区:有12个或12个以下供人居住的独立建筑物。
2)二级地区:有12个以上,80个以下供人居住的独立建筑物。
3)三级地区:介于二级和四级之间的中间地区。有80个和80个以上供人居住的独立建筑物但不够四级地区条件的地区、工业区或距人员聚集的室外场所90m内铺设管线的区域。
4)四级地区:4层或4层以上建筑物(不计地下室层数)普遍且占多数、交通频繁、地下设施多的城市中心城区(或镇的中心区域等)。
3 二、三、四级地区的长度可按如下规定调整:
1) 四级地区垂直于管道的边界线距最近地上4层或4层以上建筑物不应小于200m。
2) 二、三级地区垂直于管道的边界线距该级地区最近建筑物不应小于200m。
4 确定城镇燃气管道地区等级,宜按城市规划为该地区的今后发展留有余地。
6.4.4 高压燃气管道采用的钢管和管道附件材料应符合下列要求:
1 燃气管道所用钢管、管道附件材料的选择,应根据管道的使用条件(设计压力、温度、介质特性、使用地区等)、材料的焊接性能等因素,经技术经济比较后确定。
2 燃气管道选用的钢管,应符合现行的国家标准《石油天然气工业 输送钢管交货技术条件 第1部分:A级钢管》GB/T 9711.1(L175级钢管除外)、《石油天然气工业 输送钢管交货技术条件 第2部分:B级钢管》GB/T 9711.2 和《输送流体用无缝钢管》GB/T 8163的规定,或符合不低于上述三项标准相应技术要求的其它钢管标准。三级和四级地区高压燃气管道材料钢级不应低于L245。
3 燃气管道所采用的钢管和管道附件应根据选用的材料、管径、壁厚、介质特性、使用温度及施工环境温度等因素,对材料提出冲击试验和(或)落锤撕裂试验要求。
4 当管道附件与管道采用焊接连接时,两者材质应相同或相近。
5 管道附件中所用的锻件,应符合国家现行标准《压力容器用碳素钢和低合金钢锻件》JB 4726、《低温压力容器用低合金钢锻件》JB 4727的有关规定。
6 管道附件不得采用螺旋焊缝钢管制作,严禁采用铸铁制作。
6.4.5 燃气管道强度设计应根据管段所处地区等级和运行条件,按可能同时出现的永久载荷和可变载荷的组合进行设计。当管道位于地震设防烈度7度及7度以上地区时,应考虑管道所承受的地震载荷。
6.4.6 钢质燃气管道直管段计算壁厚应按式(6.4.6)计算,计算所得到的厚度应按钢管标准规格向上选取钢管的公称壁厚。最小公称壁厚不应小于表6.3.2的规定。

式中:δ——钢管计算壁厚(mm);
P——设计压力(MPa);
D——钢管外径(mm);
σs——钢管的最低屈服强度(MPa);
F——强度设计系数,按表6.4.8和表6.4.9选取。
φ——焊缝系数。当采用符合第6.4.4 条第2款规定的钢管标准时取1.0。
6.4.7 对于采用经冷加工后又经加热处理的钢管,当加热温度高于320℃(焊接除外)或采用经过冷加工或热处理的钢管煨弯成弯管时,则在计算该钢管或弯管壁厚时,其屈服强度应取该管材最低屈服强度(σs)的75% 。
6.4.8 城镇燃气管道的强度设计系数(F)应符合表6.4.8 的规定。

6.4.9 穿越铁路、公路和人员聚集场所的管道以及门站、储配站、调压站内管道的强度设计系数,应符合表6.4.9 的规定。

6.4.10 下列计算或要求应符合现行的国家标准《输气管道工程设计规范》GB 50251 的相应规定:
1 受约束的埋地直管段轴向应力计算和轴向应力与环向应力组合的当量应力校核;
2 受内压和温差共同作用下弯头的组合应力计算;
3 管道附件与没有轴向约束的直管段连接时的热膨胀强度校核;
4 弯头和弯管的管壁厚度计算;
5 燃气管道径向稳定校核。
6.4.11 一级或二级地区地下燃气管道与建筑物之间的水平净距不应小于表6.4.11 的规定。

注:1 当燃气管道强度设计系数不大于0.4时,一级或二级地区地下燃气管道与建筑之间的水平净距可按表6.4.12 确定。
2 水平净距是指管道外壁到建筑物出地面处外墙面的距离。建筑物是指平常有人的建筑物。
3 当燃气管道压力与表中数不相同时,可采用直线方程内插法确定水平净距。
6.4.12 三级地区地下燃气管道与建筑物之间的水平净距不应小于表6.4.12的规定。

注:1 如果对燃气管道采取行之有效的保护措施时, δ<9.5mm 的燃气管道也可采用表中B 行的水平净距。
2 水平净距是指管道外壁到建筑物出地面处外墙面的距离。建筑物是指平常有人的建筑物。
3 当燃气管道压力表中数不相同时,可采用直线方程内插法确定水平距离。
6.4.13 高压地下燃气管道与构筑物或相邻管道之间的水平和垂直净距,不应小于表6.3.2-1和6.3.2-2次高压A的规定。但高压A和高压B地下燃气管道与铁路路堤坡脚的水平净距分别不应小于8m和6m;与有轨电车钢轨的水平净距分别不应小于4m和3m。
注:当达不到本条净距要求时,采取行之有效的防护措施后,净距可适当缩小。
6.4.14 四级地区地下燃气管道输配压力不宜大于1.6Mpa(表压)。其设计应遵守本规范6.3节的有关规定。
四级地区地下燃气管道输配压力不应大于4.0MPa(表压)。
6.4.15 高压燃气管道的布置应符合下列要求:
1 高压燃气管道不宜进入四级地区;当受条件限制需要进入或通过四级地区时,应遵守下列规定:
1)高压A地下燃气管道与建筑物外墙面之间的水平净距不应小于30m(当管壁厚度δ≥9.5mm或对燃气管道采取有效的保护措施时,不应小于15m);
2)高压B地下燃气管道与建筑物外墙面之间的水平净距不应小于16m(当管壁厚度δ≥9.5mm或对燃气管道采取有效的保护措施时,不应小于10m);
3)管道分段阀门应采用遥控或自动控制。
2 高压燃气管道不应通过军事设施、易燃易爆仓库、国家重点文物保护单位的安全保护区、飞机场、火车站、海(河)、港码头。当受条件限制管道必须在本款所列区域通过时,必须采用安全防护措施。
3 高压燃气管道宜采有埋地方式敷设。当个别地段需要采用架空敷设时,必须采取安全防护措施。
6.4.16 当管道安全评估中危险性分析证明,可能发生事故的次数和结果合理时,可采用与表6.4.11和表6.4.12和6.4.15条不同的净距和采用表6.4.8和表6.4.9不同的强度设计系数(F)。
6.4.17 焊接支管连接口的补强应符合下列规定:
1 补强的结构型式可采用增加主管道或支管道壁厚或同时增加主、支管道壁厚、或三通、或拔制扳边式接口的整体补强型式,也可采用补强圈补强的局部补强型式。
2 当支管道的公称直径大于或等于1/2主管道公称直径时,应采用三通。
3 支管道的公称直径小于或等于50mm时,可不作补强计算。
4 开孔削弱部分按等面积补强,其结构和数值计算应符合现行的国家标准《输气管道工程设计规范》GB 50251的相应规定。其焊接结构还应符合下述规定:
1)主管道和支管道的连接焊缝应保证全焊透,其角焊缝腰高应大于或等于1/3的支管道壁厚,且不小于6mm;
2)补强圈的形状应与主管道相符,并与主管道紧密贴合。焊接和热处理时补强圈上应开一排气孔,管道使用期间应将排气孔堵死,补强圈宜按国家现行标准《补强圈》JB/T 4736选用。
6.4.18 燃气管道附件的设计和选用应符合下列规定:
1 管件的设计和选用应符合国家现行标准《钢铁对焊无缝管件》GB 12459、《钢板制对焊管件》GB/T 13401、《钢制法兰管件》GB/T 17185、《钢制对焊管件》SY/T 0510和《钢制弯管》SY/T 5257等有关标准规定。
2 管法兰的选用应符合国家现行标准《钢制管法兰》GB/T 9112~GB/T 9124、《大直径碳钢法兰》GB/T 13402 或《钢制法兰、垫片、紧固件》HG 20592~HG 20635 的规定。法兰、垫片和紧固应考虑介质特性配套选用。
3 绝缘法兰、绝缘接头的设计应符合国家现行标准《绝缘法兰设计技术规定》SY/T 0516 的规定。
4 非标钢制异径接头、凸形封头和平封头的设计,可参照现行的国家标准《钢制压力容器》GB 150的有关规定。
5 除对焊管件之外的焊接预制单体(如集气管、清管器接收筒等),若其所用材料、焊缝及检验不同于本规范所列要求时,可参照现行国家标准《钢制压力容器》GB 150进行设计、制造和检验。
6 管道与管件的管端焊接接头形式宜符合现行国家标准《输气管道工程设计规范》GB 50251的有关规定。
7 用于改变管道走向的弯头、弯管应符合现行国家标准《输气管道工程设计规范》GB 50251的有关规定,且弯曲后的弯管其外侧减薄处厚度应不小于按式(6.4.6)计算得到的计算厚度。
6.4.19 燃气管道阀门的设计应符合下列要求:
1 在高压燃气干管上,应设置分段阀门;分段阀门的最大间距:以四级地区为主的管段不应大于8km;以三级地区为主的管段不应大于13km;以二级地区管段不应大于24km;以一级地区为主的管段不应大于32km。
2 在高压燃气支管的起点处,应设置阀门。
3 燃气管道阀门的选用应符合有关国家现行标准,并应选择适用于燃气介质的阀门。
4 在防火区内关键部位使用的阀门,应具有耐火性能。需要通过清管器或电子检管器的阀门,应选用全通径阀门。
6.4.20 高压燃气管道及管件设计应考虑日后清理管或电子检管的需要,并宜预留安装电子检管器收发装置的位置。
6.4.21 埋地管线的锚固件应符合下列要求:
1 埋地管线上弯管或迂回管处产生的纵向力,必须由弯管处的锚固件、土壤摩阻或由管子中的纵向应力加以抵消。
2 若弯管处不用锚固件,则靠近推力起源点处的管子接头处应设计成能承受纵向接力。若接头未采取此种措施,则应加装适用的拉杆或拉条。
6.4.22 高压燃气管道的地基、埋设地最小覆土厚度、穿越铁路和电车轨道、穿越高速公路和城镇主要干道、通过河流的形式和要求等应符合本规范6.3节有关条款的规定。
6.4.23 市区外地下高压燃气管道沿线应设置里程桩、转角桩、交叉和警示牌等永久性标签。
市区内地下高压燃气管道应设立管位警示标志。在距管顶不小于500m处应埋设警示带。
6.3 压力不大于1.6Mpa的室外燃气管道
6.3.1 中压和低压燃气管道宜采用聚乙烯管、机械接口球墨铸铁管、钢管或钢骨架聚乙烯塑料复合管,并应符合下列要求:
1 聚乙烯燃气管应符合现行的国家标准《燃气用埋地聚乙烯管材》GB 15558.1 和《燃气用埋地聚乙烯管件》GB 15558.2的规定;
2 机械接口球墨铸铁管道应符合现行的国家标准《水及燃气管道用球墨铸铁管、管件和附件》GB/T 13295的规定;
3 钢管采用焊接钢管、镀锌钢管或无缝钢管时,应分别符合现行的国家标准《低压流体输送用焊接钢管》GB/T 3091、《输送流体用无缝钢管》GB/T 8163的规定;
4 钢骨架聚乙烯塑料复合管应符合国家现行标准《燃气用钢骨架聚乙烯塑料复合管》CJ/T 125和《燃气用钢骨架聚乙烯塑料复合管件》CJ/T 126的规定。
6.3.2 次高压燃气管道应采用钢管。其管材和附件应符合本规范第6.4.4条的要求。地下次高压B燃气管道也可采用钢号Q235B焊接钢管,并应符合现行国家标准《低压流体输送用焊接钢管》GB/T 3091的规定。
次高压钢质燃气管道直管段计算壁厚应按式(6.4.6)计算确定。最小公称壁厚不应小于表6.3.2的规定。
表6.3.2 钢质燃气管道最小公称壁厚
| 钢管公称直径 DN (mm) | 公称壁厚(mm) |
| DN100~150 | 4.0 |
| DN200~300 | 4.8 |
| DN350~450 | 5.2 |
| DN500~550 | 6.4 |
| DN600~700 | 7.1 |
| DN750~900 | 7.9 |
| DN950~1000 | 8.7 |
| DN1050 | 9.5 |
6.3.3 地下燃气管道不得从建筑物和大型构筑物(不包括架空的建筑物和大型构筑物)的下面穿越。
地下燃气管道与建筑物、构筑物或相邻管道之间的水平和垂直净距,不应小于表6.3.3-1 和表6.3.3-2的规定。


注:1 当次高压燃气管道压力与表中数不相同时,可采用直线方程内插法确定水平净距。
2 如受地形限制无法满足表6.3.3-1和表6.3.3-2规定的净距,经与有关部门协商,采取有效的安全防护措施后,表6.3.3-1 和表6.3.3-2 规定的净距,均可适当缩小,但低压管道应不影响建(构)筑物和相邻管道基础的稳固性,中压管道距建筑物基础不应小于0.5m且距建筑物外墙面不应小于1m,次高压燃气管道距建筑物外墙面不应小于3.0m。其中当对次高压A燃气管道采取有效的安全防护措施或当管道壁厚不小于9.5mm时,管道距建筑物外墙面不应小于6.5m;当管壁厚度不小于11.9mm时,管道距建筑物外墙面不应小于3.0m。
3 表6.3.3-1和表6.3.3-2规定除地下室燃气管道与热力管的净距不适于聚乙烯燃气管道和钢骨架聚乙烯塑料复合管外,其它规定也均适用于聚乙烯燃气管道和钢骨架聚乙烯塑料复合管道。聚乙烯燃气管道与热力管道的净距应按国家现行标准《聚乙烯燃气管道工程技术规程》CJJ 63 执行。
4 地下燃气管道与电杆(塔)基础之间的水平净距,还应满足本规范表6.7.5地下燃气管道与交流电力线接地体的净距规定。
6.3.4 地下燃气管道埋设的最小覆土厚度(路面至管顶)应符合下列要求:
1 埋设在车行道下时,不得小于0.9m;
2 埋设在非机动车车道(含人行道)下时,不得小于0.6m;
3 埋设在机动车不可能到达的地方时,不得小于0.3m;
4 埋设在水田下时,不得小于0.8m。
注:当不能满足上述规定时,应采取行之有效的安全防护措施。
6.3.5 输送湿燃气的燃气管道,应埋设在土壤冰冻线以下。
燃气管道坡向凝水缸的坡度不宜小于0.003。
6.3.6 地下燃气管道的基础宜为原土层。凡可能引起管道不均匀沉降的地段,其基础应进行处理。
6.3.7 地下燃气管道不得在堆积易燃、易爆材料和具有腐蚀性液体的场地下面穿越,并不宜与其他管道或电缆同沟敷设。当需要同沟敷设时,必须采取防护措施。
6.3.8 地下燃气管道穿过排水管(沟)、热力管沟、联合地沟、隧道及其他各种用途沟槽内穿过时,应将燃气管道敷设于套管内。套管伸出构筑物外壁不应小于表6.3.3-1 中燃气管道与该构筑物的水平净距。套管两端应采用柔性的防腐、防水材料密封。
6.3.9 燃气管道穿越铁路、高速公路、电车轨道和城镇主要干道时应符合下列要求:
1 穿越铁路和高速公路的燃气管道,应加套管;
注:当燃气管道采用定向钻穿越并取得铁路或高速公路部门同意时,可不加套管。
2 穿越铁路的燃气管道的套管,应符合下列要求:
1) 套管埋设的深度:铁路轨底至套管顶不应小于1.20m,并应符合铁路管理部门的要求;
2) 套管宜采用钢管或钢筋混凝土管;
3) 套管内径比燃气管道外径大100mm 以上;
4) 套管两端与燃气管的间隙应采用柔性的防腐、防水材料密封,其一端应装设检漏管;
5) 套管端部距路堤坡脚外距离不应小于2.0m。
3 燃气管道穿越电车轨道和城镇主要干道时宜敷设在套管或地沟内;穿越高速公路的燃气管道的套管、穿越电轨道和城镇主要干道的燃气管道的套管或地沟,并应符合下列要求:
1)套管内径应比燃气管道外径大100mm以上,套管或地沟两端应密封,在重要地段的套管或管沟端部宜安装检漏管;
2)套管端部距电车道边轨不应小于2.0m;距道路边缘不应小于1.0m。
4 燃气管道宜垂直穿越铁路、高速公路、电车轨道和城镇主要干道。
6.3.10 燃气管道通过河流时,可采用穿越河底或采用管桥跨越的形式。当条件许可时,可利用道路桥梁跨越河流,并应符合下列要求:
1 随桥梁跨越河流的燃气管道,其管道的输送压力不应大于0.4MPa。
2 当燃气管道随桥梁敷设或采用管桥跨越河流时,必须采取安全防护措施。
3 燃气管道随桥梁敷设,宜采取如下安全防护措施:
1)敷设于桥梁上的燃气管道应采用加厚的无缝钢管或焊接钢管,尽量减少焊缝,对焊缝进行100%无损探伤;
2)跨越通航河流的燃气管道底标高,应符合通航净空的要求,管架外侧应设置护桩;
3)在确定管道位置时,与随桥敷设的其他管道的间距应符合现行国家标准《工业企业煤气安全规程》GB 6222支架敷管的有关规定;
4)管道应设置必要的补偿和减震措施;
5)对管道应做较高等级的防腐保护;
对于采用阴极保护的埋地钢管与随桥管道之间应设置绝缘装置;
6)跨越河流的燃气管道的支座(架)应采用不燃烧材料制作。
6.3.11 燃气管道穿越河底时,应符合下列要求:
1 燃气管道宜采用钢管;
2 燃气管道至河床的覆土厚度,应根据水流冲刷条件及规划河床确定。对不通航河流不应小于0.5m;对通航的河流不应小于1.0m,还应考虑疏浚和投锚深度;
3 稳管措施应根据计算确定;
4 在埋设燃气管道位置的河流两岸上、下游应设立标志。
6.3.12 穿越或跨越重要河流的燃气管道,在河流两岸均应设置阀门。
6.3.13 在次高压、中压燃气干管上,应设置分段阀门,并应在阀门两侧设置放散管。在燃气支管的起点处,应设置阀门。
6.3.14 地下燃气管道上的检测管、凝水缸的排水管、水封阀和阀门,均应设置护罩或护井。
6.3.15 室外架空的燃气管道,可沿建筑物外墙或支柱敷设。并应符合下列要求:
1 中压和低压燃气管道,可沿建筑耐火等级不低于二级的住宅或公共建筑的外墙敷设;
次高压B、中压和低压燃气管道,可沿建筑耐火等级不低于二级的丁、戊类生产厂房的外墙敷设。
2 沿建筑物外墙的燃气管道距住宅或公共建筑物门、窗洞口的净距:中压管道不应小于0.5m,低压管道不应小于0.3m。燃气管道距生产厂房建筑物门、窗洞口的净距不限。
3 架空燃气管道与铁路、道路、其它管线交叉时的垂直净距不应小于表6.3.15的规定。

注:1 厂区内部的燃气管道,在保证安全的情况下,管底至道路路面的垂直净距可取4.5m;管底至铁路轨顶的垂直净距,可取5.5m。在车辆和人行道以外的地区,可在从地面到管底高度不小于0.35m的低支柱上敷设燃气管道。
2 电气机车铁路除外。
3 架空电力线与燃气管道的交叉垂直净距尚应考虑导线的最大垂度。
4 输送湿燃气的管道应采取排水措施,在寒冷地区还应采取保温措施。燃气管道坡向凝水缸的坡度不宜小于0.003。
5 工业企业内燃气管道沿支柱敷设时,尚应符合现行的国家标准《工业企业煤气安全规程》GB 6222的规定。
6.2 燃气管道计算流量和水力计算
6.2.1 城镇燃气管道的计算流量,应按计算月的小时最大用气量计算。该小时最大用气量应根据所有用户燃气用气量的变化叠加后确定。
独立居民小区和庭院燃气支管的计算流量宜按本规范第10.2.9 条规定执行。
6.2.2 居民生活和商业用户燃气小时计算流量(0℃和101.325KPa),宜按下式计算:

式中:Qh——燃气小时计算流量(m3/h);
Qa——年燃气用量(m3/a);
n——年燃气最大负荷利用小时数(h)
Km——月高峰系数,计算月的日平均用气量和年的日平均用气量之比;
Kd——日高峰系数,计算月中的日最大用气量和该月日平均用气量之比;
Kh——小时高峰系数,计算月中最大用气量日的小时最大用气量和该日小时平均用气量之比。
6.2.3 居民生活和商业用户用气的高峰系数,应根据该城镇各类用户燃气用量(或燃料用量)的变化情况,编制成月、日、小时用气负荷资料,经分析研究确定。
工业企业和燃气汽车用户燃气小时计算流量,宜按每个独立用户生产的特点和燃气用量(或燃料用量)的变化情况,编制成月、日、小时用气负荷资料确定。
6.2.4 采暖通风和空调所需燃气小时计算流量,可按国家现行的标准《城市热力网设计规范》CJJ 34有关热负荷规定并考虑燃气采暖通风和空调的热效率折算确定。
6.2.5 低压燃气管道单位长度的摩擦阻力损失应按下式计算:

式中: △P——燃气管道摩擦阻力损失(Pa);
λ——燃气管道摩擦阻力系数,宜按式(6.2.6-2)和附录C 第C.0.1 条第1、2 款计算;
l——燃气管道的计算长度(m);
Q——燃气管道的计算流量(m3/h);
d——管道内径(mm);
ρ——燃气的密度(kg/m3);
T——设计中所采用的燃气温度(K);
T0——273.15(K)。
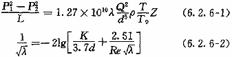
6.2.6 高压、次高压和中压燃气管道的单位长度摩擦阻力损失,应按式(6.2.6-1)计算:

式中:P1——燃气管道起点的压力(绝对压力,kPa);
P2——燃气管道终点的压力(绝对压力,kPa);
Z——压缩因子,当燃气压力小于1.2MPa(表压)时,Z取1;
L——燃气管道的计算长度(km);
λ——燃气管道摩擦阻力系数,宜按式(6.2.6-2)计算;
K——管壁内表面的当量绝对粗糙度(mm);
Re——雷诺数(无量纲)。
注:当燃气管道的摩擦阻力系数采用手算时,宜采用附录C公式。
6.2.7 室外燃气管道的局部阻力损失可按燃气管道摩擦阻力损失的5%~10%进行计算。
6.2.8 城镇燃气低压管道从调压站到最远燃具管道允许阻力损失,可按下式计算:

式中:△Pd——从调压站到最远燃具的管道允许阻力损失(Pa);
Pn——低压燃具的额定压力(Pa)。
注:△Pd含室内燃气管道允许阻力损失,室内燃气管道允许阻力损失应按本规范第10.2.11 条确定。
6.1 一般规定
6.1.1 本章适用于压力不大于4.0Mpa(表压)的城镇燃气(不包括液态燃气)室外输配工程的设计。
6.1.2 城镇燃气输配系统一般由门站、燃气管网、储气设施、调压设施、管理设施、监控系统等组成。城镇燃气输配系统设计,应符合城镇燃气总体规划,在可行性研究的基础上,做到远、近期结合,以近期为主,并经技术经济比较后确定合理的方案。
6.1.3 城镇燃气输配系统压力级制的选择,门站、储配站、调压站、燃气干管的布置,应根据燃气供应来源、用户的用气量及其分布、地形地貌、管材设备供应条件、施工和运行等因素,经过多方案比较,择优选取技术经济合理、安全可靠的文案。
城镇燃气干管的布置,应根据用户用量及其分布,全面规划,并宜按逐步形成环状管网供气进行设计。
6.1.4 采用天然气做气源时,城镇燃气逐月、逐日的用气不均匀性的平衡,应由气源方(即供气方)统筹调度解决。
需气方对城镇燃气用户应做好用气量的预测,在各类用户全年的综合用气负荷资料的基础上,制定逐月、逐日用气量计划。
6.1.5 在平衡城镇燃气逐月、逐日的用气不均匀性基础上,平衡城镇燃气逐小时的用气不均匀性,城镇燃气输配系统尚应具有合理的调峰供气措施,并应符合下列要求:
1 城镇燃气输配系统的调峰气总容量,应根据计算月平均日用气总量、气源的可调量大小、供气和用气不均匀情况和运行经验等因素综合确定。
2 确定城镇燃气输配系统的调峰气总容量时,应充分利用气源的可调量(如主气源的可调节供气能力和输气干线的调峰能力等)。采用天然气做气源时,平衡小时的用气不均所需调峰气量宜由供气方解决,不足时由城镇燃气输配系统解决。
3 储气方式的选择应因地制宜,经方案比较,择优选取技术经济合理、安全可靠的方案。对来气压力较高的天然气输配系统宜采用管道储气的方式。
6.1.6 城镇燃气管的设计压力(P)分为7级,并应符合表6.1.6 的要求。

6.1.7 燃气输配系统各种压力级别的燃气管道之间应通过调压装置相连。当有可能超过最大允许工作压力时,应设置防止管道超压的安全保护设备。