E.0.1 内摩擦角标准值φk,黏聚力标准值ck,可按下列规定计算:
1 根据室内n组三轴压缩试验的结果,按下列公式计算变异系数、某一土性指标的试验平均值和标准差:

式中:δ——变异系数;
μ——某一土性指标的试验平均值;
σ——标准差。
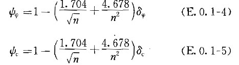
2 按下列公式计算内摩擦角和黏聚力的统计修正系数ψφ、ψc:

式中:ψφ——内摩擦角的统计修正系数;
ψc——黏聚力的统计修正系数;
δφ——内摩擦角的变异系数;
δc——黏聚力的变异系数。
3
ψk=ψφφm (E.0.1-6)
ck=ψccm (E.0.1-7)
式中:φm——内摩擦角的试验平均值;
cm——黏聚力的试验平均值。