R.0.1 桩基础最终沉降量的计算采用单向压缩分层总和法:

(R. 0. 1)
式中:s——桩基最终计算沉降量(mm);
m——桩端平面以下压缩层范围内土层总数;
Esj,i——桩端平面下第j层土第i个分层在自重应力至自重应力加附加应力作用段的压缩模量(MPa);
nj——桩端平面下第j层土的计算分层数;
△hj,i——桩端平面下第j层土的第i个分层厚度,(m);
σj,i——桩端平面下第j层土第i个分层的竖向附加应力(kPa),可分别按本附录第R.0.2条和第R.0.4条的规定计算;
ψp ——桩基沉降计算经验系数,各地区应根据当地的工程实测资料统计对比确定。
R.0.2 采用实体深基础计算桩基础最终沉降量时,采用单向压缩分层总和法按本规范第5.3.5条~第5.3.8条的有关公式计算。
R.0.3 本规范公式(5.3.5)中附加压力计算,应为桩底平面处的附加压力。实体基础的支承面积可按图R. 0.3采用。实体深基础桩基沉降计算经验系数ψps应根据地区桩基础沉降观测资料及经验统计确定。在不具备条件时,ψps值可按表R.0.3选用。
表R.0.3 实体深基础计算桩基沉降经验系数ψps
| ≤15 | 25 | 35 | ≥45 | |
| ψps | 0.5 | 0.4 | 0.35 | 0.25 |
注:表内数值可以内插。

图R. 0. 3 实体深基础的底面积
R.0.4 采用明德林应力公式方法进行桩基础沉降计算时,应符合下列规定:
1 采用明德林应力公式计算地基中的某点的竖向附加应力值时,可将各根桩在该点所产生的附加应力,逐根叠加按下式计算:

(R. 0. 4-1)
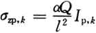
式中:σzp,k——第k根桩的端阻力在深度z处产生的应力(kPa);
σzs,k——第k根桩的侧摩阻力在深度z处产生的应力(kPa)。
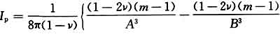
2 第k根桩的端阻力在深度z处产生的应力可按下式计算;

(R. 0. 4-2)
式中:Q——相应于作用的准永久组合时,轴心竖向力作用下单桩的附加荷载(kN);由桩端阻力Qp和桩侧摩阻力Qs共同承担,且Qp=αQ,α是桩端阻力比;桩的端阻力假定为集中力,桩侧摩阻力可假定为沿桩身均匀分布和沿桩身线性增长分布两种形式组成,其值分别为βQ和(1-α-β)Q,如图R.0.4所示;
l——桩长(m);
I p,k——应力影响系数,可用对明德林应力公式进行积分的方式推导得出。

图R. 0. 4 单桩荷载分担
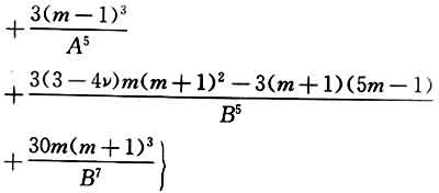
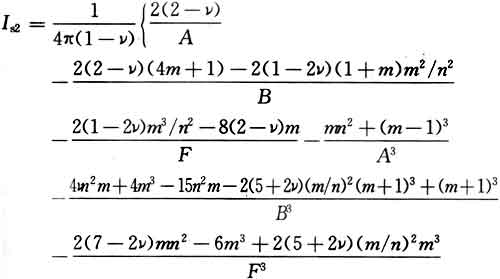
3 第k根桩的侧摩阻力在深度z处产生的应力可按下式计算;

(R. 0. 4-3)
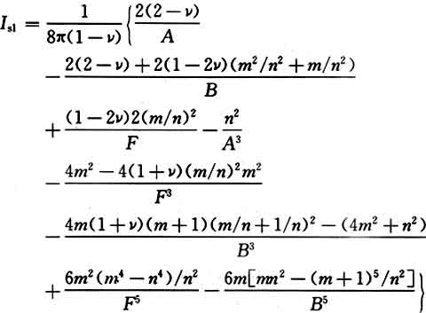
式中:I s1,I s2——应力影响系数,可用对明德林应力公式进行积分的方式推导得出。
4 对于一般摩擦型桩可假定桩侧摩阻力全部是沿桩身线性增长的(即β=0),则(R. 0.4-3)式可简化为:

(R. 0. 4-4)
5 对于桩顶的集中力:


(R. 0. 4-5)
6 对于桩侧摩阻力沿桩身均匀分布的情况:

(R. 0. 4-6)
7 对于桩侧摩阻力沿桩身线性增长的情况:


(R. 0. 4-7)

式中:
υ——地基土的泊松比;
r——计算点离桩身轴线的水平距离(m);
z——计算应力点离承台底面的竖向距离(m)。
8 将公式(R. 0.4-1)~公式(R.0.4-4)代入公式(R. 0.1),得到单向压缩分层总和法沉降计算公式:

(R. 0. 4-8)
R.0.5 采用明德林应力公式计算桩基础最终沉降量时,相应于作用的准永久组合时,轴心竖向力作用下单桩附加荷载的桩端阻力比α和桩基沉降计算经验系数ψpm应根据当地工程的实测资料统计确定。无地区经验时,ψpm值可按表R. 0.5选用。
表R.0.5 明德林应力公式方法计算桩基沉降经验系数ψpm
| ≤15 | 25 | 35 | ≥40 | |
| ψpm | 1.00 | 0.8 | 0.6 | 0.3 |
注:表内数值可以内插。